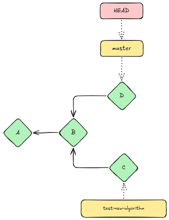
Posizione corrente nell storia di un branch = working copy.
Puo puntare ad un commit, branch o tag. Checkout è la primitiva corrispondente che aggiorna la working copy. Se non punta ad un branch: detached head → no commit.
Posizione corrente nell storia di un branch = working copy.
Puo puntare ad un commit, branch o tag. Checkout è la primitiva corrispondente che aggiorna la working copy. Se non punta ad un branch: detached head → no commit.